skip to main
|
skip to sidebar
Ingeniería al día
Blog para estudiantes de ingeniería, libros descargas y otros
Inicio
Posts RSS
Comentarios RSS
Micros
Análisis Numérico
Clases 2010-II
Programación
MatLab
Páginas
Página principal
Derivada de la función escalón unitario
Publicado por
Sergio Velasquez
en
8:48
jueves, 30 de junio de 2011
Etiquetas:
Señales
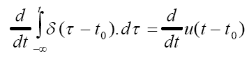
Si se derivan ambos miembros de la ecuación (47) se tiene:
Se concluye que la derivada de la función escalón unitario en t = t
0
es la función impulso unitario que ocurre en t = t
0
No response to “Derivada de la función escalón unitario”
Leave a response
|
Comments (Atom)
Publicar un comentario
« Entrada más reciente
Entrada antigua »
twitter
srgiovelasquezg
Nuevo Libro en este Blog!!!
Cool Myspace Generators
Tres peces
Virtual Pet Fish
Visitas
contador visitas
Etiquetas
A.Numerico
Animación
ATMega y AVR
Bases de Datos
Bluetooth
C++
Circuitos
Clases 2009-I
Clases 2009-II
Clases 2010-I
Control
CSS y HTML
Desarrollo
Desarrollo. osciloscopio
Dreamweaver Basic
Electricidad
Electrónica
Ingles
Instrumentación
Joomla
Labview
Libros Varios
Linux
Matemáticas
Matlab
Metodología
Microcontroladores
Mision Sucre
Office
osciloscopio
otras ingenierias
PHP
PHP Glosario
PICAXE
Programación
Psicotecnia
Pspice
Redes
Scada
Seguridad de la Informacion
Señales
Tec.Electronica PCB
Telefonía
Wave
No response to “Derivada de la función escalón unitario”
Publicar un comentario